Ácido tricloroisocianúrico, fórmula química: C3O3N3cl3,peso molecular: 232,41, es un compuesto orgánico, polvo cristalino blanco o sólido granular, con fuerte sabor irritante a cloro.
El ácido tricloroisocianúrico es un oxidante y clorador extremadamente fuerte. Se mezcla con sal de amonio, amoníaco y urea para producir tricloruro de nitrógeno explosivo. Cuando está húmedo y caliente, también liberará tricloruro de nitrógeno. Cuando es inflamable en materia orgánica. El ácido tricloroisocianúrico casi no tiene efecto de corrosión en el acero inoxidable, y la corrosión del latón es más fuerte que la del acero al carbono.
El producto es ampliamente utilizado, incluidos los siguientes aspectos:
1. Desinfección y esterilización:
El ácido tricloroisocianúrico es un desinfectante y agente blanqueador altamente efectivo con almacenamiento estable, uso conveniente y seguro. Es ampliamente utilizado en el procesamiento de alimentos, desinfección de agua potable, sericultura y desinfección de semillas de arroz. Tiene un efecto mortal sobre casi todos los hongos, bacterias y esporas de virus, tiene un efecto especial sobre la eliminación de los virus de la hepatitis A y la hepatitis B, y tiene un buen efecto desinfectante sobre los virus sexuales y el VIH. Es seguro y cómodo de usar. Se ha utilizado como desinfectante en aguas industriales, agua de piscinas, agente de limpieza, hospitalario, vajillas, etc.; también se utiliza como agente de esterilización en la cría de gusanos de seda y otras crías. Además de ser ampliamente utilizado como desinfectante y bactericida, el ácido tricloroisocianúrico también se usa ampliamente en la producción industrial.
2. Aplicación en la industria de impresión y teñido:
El ácido tricloroisocianúrico contiene hasta un 90 por ciento de cloro activo y se utiliza como agente blanqueador en la industria de la impresión y el teñido. Es adecuado para el blanqueo de algodón, lino, lana, fibra sintética y fibra mixta. No solo no daña la fibra, sino que también tiene un mejor rendimiento que el hipoclorito de sodio y la lejía, y puede usarse en lugar del hipoclorito de sodio importado.
3. Aplicación en la industria alimentaria:
En lugar de cloramina T para la desinfección de alimentos, su contenido efectivo de cloro es tres veces mayor que el de la cloramina t. Y se puede utilizar como agente decolorante y desodorante de dextrina.
4. Aplicación en la industria textil de lana: se utiliza como agente antiencogimiento de lana en la industria textil de lana en lugar de bromato de potasio.
5. Aplicación en la industria del caucho: utilizado como agente de cloración en la producción de la industria del caucho.
6. Utilizado como oxidante industrial: el potencial de electrodo de oxidación-reducción del ácido tricloroisocianúrico es equivalente al hipoclorito, que puede usarse como oxidante de alta calidad en lugar del hipoclorito.
7. Otros aspectos: se utiliza como materia prima en la industria de síntesis orgánica y puede sintetizar una variedad de sustancias orgánicas como el isocianurato de tri (2-hidroxietilo). El ácido cianúrico, el producto de la descomposición del ácido tricloroisocianúrico, no solo no es tóxico, sino que también tiene muchos usos, como producir una serie de resinas, recubrimientos, adhesivos y plásticos.
Los principales métodos de síntesis del ácido tricloroisocianúrico incluyen el método del gas de cloro, el método del agente de cloración líquido, el método del solvente y el método de cloración profunda del ácido dicloroisocianúrico de sodio (SDC).
(1) método de cloro:
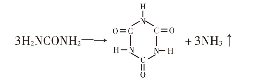
Paso 1: Síntesis de ácido cianúrico (CA) El ácido cianúrico se produce principalmente mediante el método de liberación de amoníaco de craqueo térmico de urea. La fórmula de la reacción es la siguiente:

Paso 2: disolución alcalina
Paso 3: cloración

El proceso es simple. Sin embargo, en el proceso de preparación de TCCA por cloración de Ca, hay muchos subproductos como biuret, biuret, amida cianúrica y urea en Ca como materia prima sin reaccionar, que reaccionan con el cloro para formar NCl3 y ca. Es fácil generar NCl3 en solución alcalina. Los productos TCCA también se descompondrán para generar NCl3 bajo condiciones alcalinas o de calentamiento. La reacción de paso del cloro se lleva a cabo en recipientes cerrados. Como todos saben, NCl3 es fácil de explotar cuando se acumula.
(2) Método de cloración líquida:
El ácido cianúrico se prepara en una suspensión y se clora a un pH determinado con un agente de cloración prefabricado (como CL20, HOCl, na0cl, etc.). La fórmula de la reacción es:

De igual forma, para evitar la generación de NCl3, por un lado, se refina el intermedio CA para reducir el contenido de impurezas por debajo del 3 por ciento, y por otro lado, se controlan estrictamente las condiciones del proceso para controlar el pH entre 3 y 4 y la temperatura de cloración entre 20 y 25 grados. Este método es una reacción en fase líquido-líquido. Cuando se introduce una cierta cantidad de aire en la entrada, el reactor de cloración está equipado con un sistema de escape para descargar el NCl3 traza generado a tiempo. La reacción de este método es rápida y no contamina el medio ambiente. La desventaja es que el ácido hipocloroso es inestable, lo que da como resultado una reducción en el rendimiento del producto.
Además, los productos secos sin NCl3 se pueden preparar después de que Ca reaccione con CL20 preparado previamente a menos de 200 grados, sin separación ni secado.
(3) Método solvente
Se utiliza un disolvente inerte como el cloruro de metano, que no es miscible con agua, no tiene actividad de reacción y puede disolver el TCCA. Este método tiene las ventajas de continuidad, automatización, gran escala y pequeña contaminación. También se utiliza en la producción a gran escala en los países desarrollados.
Cloración profunda de dicloroisocianurato de sodio (SDC)
El dicloroisocianurato de sodio es una de las series de productos de isocianurato clorado. En la producción conjunta de SDC y taac, el ácido cianúrico y la solución de hipoclorito de sodio reaccionan a 20-25 grados para formar SDC, y luego se cloran profundamente para formar TCCA. La fórmula de la reacción es la siguiente:

El ácido tricloroisocianúrico (TCCA) es una de las variedades importantes de productos de ácido isocianúrico clorado. Es una nueva generación de agentes blanqueadores, agentes cloradores y desinfectantes de alta eficiencia. Tiene las características de alto poder de esterilización y blanqueo, almacenamiento y transporte estables, lo que hace que las tabletas sean seguras y liberen cloro efectivo en el agua durante mucho tiempo.
Mercado doméstico:
La desinfección y esterilización de la sericultura y la acuicultura son las principales áreas de consumo de ácido tricloroisocianúrico en China, y representan entre el 50 % y el 60 % del consumo total. Con la mejora del nivel de vida de las personas, el aumento de la seda y los productos acuáticos sin duda impulsará el aumento de la demanda de ácido tricloroisocianúrico. La grave contaminación del agua potable en China ha causado gran preocupación en la población. Para garantizar la calidad del agua, las tabletas de productos que se utilizan para la desinfección del agua potable recibirán mucha atención. Además, no solo puede mejorar la tasa de utilización del agua en circulación, purificar la calidad del agua y ahorrar en el consumo de agua, sino también garantizar el funcionamiento normal, estable y seguro del sistema de agua en circulación y reducir en gran medida el consumo total de energía.
Según las estadísticas, en 2002, el consumo real de ácido tricloroisocianúrico en China fue de unas 30000 toneladas. La cantidad de desinfección en la cría de gusanos de seda y la acuicultura representó el 50 por ciento del consumo total, la cantidad de desinfección en las industrias médica y de catering fue del 15 por ciento, la cantidad de desinfección diaria fue del 10 por ciento, y el consumo de agua doméstica y tratamiento de agua circulante representó el 8 por ciento. El consumo agrícola, pesquero, textil, papelero y piscina aumentará en el futuro.
Debido al costo relativamente alto de producir ácido tricloroisocianúrico en países extranjeros y ciertas restricciones en la producción de productos clorados en países extranjeros, algunas pequeñas y medianas empresas en países extranjeros han dejado de producir ácido tricloroisocianúrico y en su lugar lo importan de países en desarrollo. y luego produjo su preparación compuesta para formar el producto final. Por lo tanto, el volumen de exportación de China de este producto se ha incrementado en los últimos años.

