Diisocianato de isophorona (IPDI), la fórmula química C12H18N2O2, es un diisocianato alíclico. IPDI es uno de los productos de diisocianato más activos en uso común, con reacción estable. Sus dos grupos de isocianato tienen aproximadamente diez veces diferentes actividades de reacción, lo que conduce a la preparación de varios prepolímeros, y su presión de vapor es baja, lo que hace que sea más seguro usar y operar. Es el agente de curado del prepolímero hidroxilo (es decir, polipropilenglicol) requerido para el adhesivo de poliuretano del propulsor compuesto. Se usa ampliamente en plásticos, adhesivos, productos farmacéuticos, especias y otras industrias.

|
Fórmula química |
C12H18N2O2 |
|
Masa exacta |
222 |
|
Peso molecular |
222 |
|
m/z |
222 (100.0%), 223 (13.0%) |
|
Análisis elemental |
C, 64.84; H, 8.16; N, 12.60; O, 14.39 |
|
|
|

Diisocianato de isophorona (IPDI)es un diisocianato alifático con la fórmula molecular C ₁₂ H ₁₈ N ₂ O ₂ y un peso molecular de 222.3. Como la materia prima central de la industria de poliuretano, IPDI ha demostrado un valor irremplazable en los campos de recubrimientos, adhesivos, elastómeros, materiales compuestos, etc. debido a su estructura molecular única y su excelente rendimiento.
1.1 Ventajas de la estructura molecular
La estructura molecular de IPDI contiene un anillo de isophorona y dos grupos de isocianato (- NCO), entre los cuales el NCO primario (- N=C=O) se ve afectado por el efecto de obstáculo estérico del anillo de ciclohexano y el grupo metilo sustituido, lo que resulta en una actividad de reacción más baja; Sin embargo, debido a su menor obstáculo estérico, la reactividad de Zhong NCO es 1.3-2.5 veces mayor que la de Bo NCO. Esta característica de doble sitio activo permite un control preciso de las cadenas moleculares en la síntesis de polímeros, como la preparación de poliuretanos lineales o ramificados ajustando las condiciones de reacción.
1.2 Comparación de la actividad de reacción
En comparación con los diisocianatos aromáticos como TDI y MDI, IPDI tiene una actividad de reacción más baja, una presión de vapor significativamente menor (0.0013kPa, 25 grados) que MDI (0.003kPa) y mayor seguridad operativa.

Su velocidad de reacción con grupos hidroxilo es 4-5 veces mayor que la de HDI (diisocianato de hexametileno), que puede acortar significativamente el ciclo de producción. Por ejemplo, en la preparación de elastómeros de poliuretano, el sistema IPDI puede completar el curado en 2 horas a 60 grados, mientras que el sistema HDI requiere 8 horas.
1.3 Características de reacción de auto agregación
El IPDI puede auto polimerizarse en dímero de diketona de urea alifática a 30-50 grados bajo protección de nitrógeno, y esta reacción puede acelerarse por catalizadores como 4-dimetilaminopiridina. La polimerización adicional de los dímeros puede formar isocianatos aglomerados multifuncionales, que pueden usarse para preparar recubrimientos de alta densidad de reticulación con una reducción del 50% en el tiempo de secado superficial en comparación con los sistemas tradicionales.
2.1 Materiales de poliuretano de alto rendimiento
2.1.1 recubrimiento resistente a la clima
Los recubrimientos de poliuretano a base de IPDI tienen una excelente resistencia al envejecimiento UV debido a la ausencia de estructura del anillo de benceno en sus moléculas. En el campo de la pintura de reparación automotriz, los recubrimientos preparados por la copolimerización de IPDI y el éster acrílico aún mantienen una tasa de retención de brillo de más del 90% después de 2000 horas de pruebas de envejecimiento acelerado de QuV, superando con creces el 60% de los recubrimientos a base de TDI. Según los datos de la aplicación de una compañía internacional de automóviles, los modelos que utilizan el recubrimiento IPDI pueden extender la vida útil del recubrimiento del cuerpo a 10 años y reducir los costos de mantenimiento en un 40%.
2.1.2 elastómero resistente a la desgaste
El elastómero de poliuretano preparado por la reacción de IPDI y poliéter de poliol tiene una dureza en tierra de hasta 85a, una resistencia a la tracción de 50MPa, una resistencia a la rotura de 120kn/m y una resistencia al desgaste tres veces la del caucho natural.
En el campo de las cuchillas de la turbina eólica, los elastómeros a base de IPDI se utilizan para la capa protectora del borde de ataque de la cuchilla, que puede resistir el ciclo de temperatura de -40 grados a 80 grados, mejorar la resistencia a la erosión de la arena en un 50%y extender la vida útil de la vida útil a 20 años.
2.1.3 poliuretano transmitido por el agua
La capa superior de poliuretano transmitida por el agua con IPDI a medida que el agente de curado logra las emisiones de VOC<50g/L in the coating of wind turbine blades, which is 80% lower than fluorocarbon coatings. According to actual test data from a certain wind power enterprise, the IPDI water-based coating showed no bubbles after 960 hours of salt spray testing, maintained zero adhesion, and reduced overall cost by 35% compared to fluorocarbon systems.
2.2 Materiales y adhesivos compuestos
2.2.1 Adhesivo de propelente sólido
IPDI, como agente de curado para adhesivos de poliuretano en propulsores compuestos, puede mejorar significativamente las propiedades mecánicas de los materiales. Un estudio realizado por un cierto grupo de tecnología aeroespacial muestra que el uso de propelente curado con IPDI puede lograr una fluctuación de resistencia a la tracción de<10% and a fracture elongation retention rate of>85% dentro del rango de temperatura de -40 grados a +60 grado, cumpliendo los requisitos de la aeronave de alta precisión.
2.2.2 Adhesivo estructural
El adhesivo preparado por IPDI y poliéster de poliol tiene una resistencia al corte de 35MPa y una mayor resistencia a la temperatura a 180 grados en la unión de materiales compuestos de fibra de carbono. Según una aplicación de cierta empresa de fabricación de aviación, los componentes del ala que usan adhesivo IPDI tienen una vida útil de fatiga el doble que la de los sistemas epoxi y una reducción de peso del 15%.
2.3 Materiales funcionales especiales
2.3.1 Resina óptica
La resina óptica preparada por copolimerización de IPDI e metacrilato de hidroxietilo tiene un índice de refracción de 1.58, un número ABBE de 32 y una transmitancia del 92%. Se puede usar para la fabricación de lentes de alta gama. Las pruebas de productos por parte de cierta compañía óptica muestran que las lentes basadas en IPDI tienen una mejora del 50% en la resistencia al impacto en comparación con las lentes de PC, y son menos propensas al amarillamiento.
2.3.2 Materiales biomédicos
El poliuretano médico preparado porDiisocianato de isophorona (IPDI)y la policaprolactona tiene biocompatibilidad de acuerdo con el estándar ISO 10993 y puede usarse para implantes como válvulas cardíacas artificiales y stents vasculares. Los experimentos con animales han demostrado que el ciclo de degradación de los materiales basados en IPDI in vivo puede controlarse dentro de 6-12 meses, y no hay respuesta inflamatoria.

Estable a temperatura y presión ambiente, el diisocianato de isoforona reacciona con sustancias que contienen hidrógeno activo, como agua, fenol, alcohol, éter, amina, mercaptán, carbamato, urea, etc.
Reacción con hidrógeno activo: puede formar urea, éster de aminoácidos, etc. La reacción de la formación de urea se puede utilizar para identificar el grupo amino en el análisis orgánico o valorar el contenido de isocianato con grupo amino.

El IPDI puede ser ácido con compuestos de carbonilo: la reacción de hidrógeno para formar isocianato terminado con amida, como IPDI y malonato de dimetilo, el isocianato bloqueado se puede preparar mediante la reacción de hidrógeno a 40 grados.

Reacción de auto polimerización: bajo protección de nitrógeno y presión normal de 30-50 grados, se forma dímero de diketona de urea alifática. El catalizador primario puede ser 4-dimetilaminopiridina, 4-dietilaminopiridina, 4-pirrolidina, 4-piperidopiridina y 4 - (4-metilpiperidinil) piridina. El catalizador de CO es el compuesto epoxi, como el óxido de propileno, el óxido de etileno, el epoxi butano y el cloropropano epoxi.

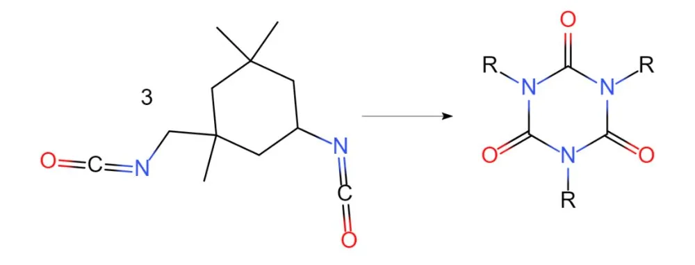
El trímero IPDI se forma bajo protección de nitrógeno y presión normal de 50-90 grados. El catalizador se puede usar como Policat 46. Debido al efecto de la inducción y el obstáculo estérico, la reactividad de dos NCO de IPDI con estructura molecular asimétrica es diferente. Cuando reacciona una NCO, la actividad de reacción del restante NCO disminuye. Después de la formación del trímero, se deben agregar inhibidores de la polimerización como el toluenosulfonato de metilo, el ácido fosfórico, el cloruro de acilo, etc. para evitar la polimerización y el curado completos.

Polimerización para formar polímeros: IPDI puede polimerizar directamente con dietanolamina (DEA) para formar compuestos de polímero en un solo paso sin agregar otros reactivos auxiliares. Además, debido a que las actividades activas de hidrógeno de los grupos - NH y - OH en DEA son diferentes, los resultados de la reacción formarán polímeros hiperbracionados. También puede reaccionar con la poliamida para formar UAS sustituidos, que es más rápido que la reacción con los polioles, y el período de activación es generalmente muy corto. Si reacciona con el agua, la hidrólisis del grupo funcional NCO producirá CO2 y amina, y la amina liberada reaccionará automáticamente con el exceso de isocianato para generar urea y enlace cruzado. Este tipo de reacción se puede hacer en un solo sistema de componentes, pero se evitará la humedad durante el almacenamiento.


Diisocianato de isophorona (IPDI)Los compuestos no existen en la naturaleza. El primer compuesto de isocianato fue preparado por el químico británico Wurtz en 1849 a través de la reacción de doble descomposición del alquil sulfato y el cianato de potasio.
Luego, en 1850, el químico estadounidense Hofmann hizo isocianato de fenilo mediante el uso de benzamida.
En 1884, el profesor Hentschel de Alemania y otros sintetizaron compuestos de isocianato al reaccionar amina o sal de amina con cloruro de acilo. Esta reacción ha sentado una base teórica para la producción industrial de compuestos de isocianato.
En las décadas de 1940 y 1950, el proceso de fosgenación salificante en el proceso de fotogasificación de fase líquida se utilizó principalmente para preparar ADI. ADI se refiere a diisocianatos alifáticos y alicíclicos. Las variedades principales incluyen HDI, IPDI y H12MDI. Además, también incluye tetrametil dimetilbenceno diisocianato (TMXDI), diisocianato de trimetilhexametileno (TMDI), diisocianato de fenileno dimetil diisocianato (XDL) diisocianato de metilcicloheexano (HTDI), etc., etc., etc.
En 1960, la compañía alemana de Hurst desarrolló un nuevo tipo de isocianato, llamado diisocianato de isophorona.
En 1989, Bayer Company introdujo por primera vez la tecnología de preparación de ADI mediante el método de fase gaseosa de alta temperatura, y luego el método de gasificación de fotografía de fase gaseosa se convirtió gradualmente en la tecnología general de preparación de ADI.
Cuando China comenzó a desarrollar recubrimientos de resina de poliuretano a fines de la década de 1950, comenzó a contactar el uso y la producción de compuestos de isocianato.
Etiqueta: Diisocianato de isophorona (IPDI) CAS 4098-71-9, proveedores, fabricantes, fábrica, mayorista, compra, precio, a granel, venta







